Fractions
A cake with one quarter
removed. The remaining three quarters are shown.
Fractions (from Latin: fractus, "broken") are numbers expressed as the ratio of two numbers, and are used primarily to express
a comparison between parts and a whole.
The earliest fractions were reciprocals of integers: ancient symbols representing
one part of two, one part of three, one part of four, and so on.[1] A much later development were
the common or "vulgar" fractions which are still used today (½,
⅝, ¾, etc.) and which consist of a numerator and a denominator, the numerator representing a number of equal
parts and the denominator telling how many of those parts make up a whole. An example
is 3/4, in which the numerator, 3, tells us that the fraction represents 3
equal parts, and the denominator, 4, tells us that 4 parts make up a whole.
A still later development was the decimal fraction, now
called simply a decimal, in
which the denominator is a power of ten, determined by the number of digits to the right of a decimal separator, the appearance of which
(e.g., a period, a raised period (•), a comma) depends on the locale (for
examples, see decimal separator). Thus for 0.75 the numerator is 75 and the denominator is 10 to
the second power, viz. 100, because there are two digits
to the right of the decimal separator.
A third kind of fraction still in common use is the percentage, in which the denominator is
always 100. Thus 75% means 75/100.
Other uses for fractions are to represent ratios, and to represent division. Thus the fraction 3/4 is also used to represent the ratio
3:4 (three to four) and the division 3 ÷ 4 (three divided by four).
In mathematics, the set of all numbers which can be expressed
as a fraction m/n, where m and n are integers and n is not zero,
is called the set of rational numbers. This set is represented by
the symbol Q.
Terminology
Historically, any number that did not represent a whole was
called a "fraction". The numbers that we now call
"decimals" were originally called "decimal fractions"; the
numbers we now call "fractions" were called "vulgar
fractions", the word "vulgar" meaning "commonplace".
The word is also used in related
expressions, such as continued fraction and algebraic fraction—see Special cases below.
Writing fractions
A common or vulgar fraction is usually written as
a pair of numbers, the top number called the numerator and the bottom number
called the denominator. A line usually separates the numerator and denominator.
If the line is slanting it is called a solidus or forward slash, for example 3/4. If the line
is horizontal, it is called a vinculum or, informally, a
"fraction bar", thus:
.
The solidus may be omitted from the slanting style (e.g. 34) where space is short and the
meaning is obvious from context, for example in road signs in some countries.[citation needed]
In computer displays and typography, simple fractions are
sometimes printed as a single character, e.g. ½ (one half).
Scientific publishing distinguishes four ways to set
fractions, together with guidelines on use:[2]
§ case fractions:
– these are generally used only
for simple fractions;
§ special fractions: ½ – these are not generally
used in formal scientific publishing, but are used in other contexts;
§ shilling fractions: 1/2 – so called because this
notation was used for pre-decimal British currency (£sd), as in 2/6 for a half crown, meaning two shillings and six pence. This setting is
particularly recommended for fractions inline (rather than displayed), to avoid
uneven lines, and for fractions within fractions (complex fractions) or within exponents to
increase legibility.
§ built-up fractions:
– while large and legible, these
can be disruptive, particularly for simple fractions, or within complex
fractions.
Usage
Fractions are used most often when the denominator is
relatively small. By mental calculation, it is easier to multiply 32 by 3⁄16 than to do the same calculation
using the fraction's decimal equivalent (0.1875). It is also more accurate to
multiply 15 by ⅓, for
example, than it is to multiply 15 by a decimal approximation of one third.
To change a common fraction to a decimal, divide the
numerator by the denominator, and round off to the desired accuracy.
Conversely, a decimal fraction may be converted to a common fraction: if
dealing with a finite number of digits, this is very easy; for example, 0.1875
may be expressed as
(and subsequently simplified,
if desired).
Forms of fractions
Vulgar, proper, and
improper fractions
A vulgar
fraction (or common fraction or simple fraction) is a rational number written as one integer (the numerator) divided by a
non-zero integer (the denominator) such as
.
A vulgar fraction is said to be a proper fraction if the absolute value of the
numerator is less than the absolute value of the denominator—that is, if the absolute value of the entire fraction is less
than 1; a vulgar fraction is said to be an improper fraction (US, British or Australian) or top-heavy fraction (British, occasionally North
America) if the absolute value of the numerator is greater than or equal to the
absolute value of the denominator (e.g.
).[3]
Mixed numbers
A mixed
number is the
sum of a whole number and a proper fraction. This sum is implied without the
use of any visible operator such as "+"; for example, in referring to
two entire cakes and three quarters of another cake, the whole and fractional
parts of the number are written next to each other:
.
This is not to be confused with the algebra idea of implying
multiplication by writing two quantities next to each other without a visible
multiplication operator:
. This "change of meaning" of
juxtaposing two items is at least a partial reason why for math topics beyond
the level of arithmetic, improper fractions are preferred.
An improper fraction can be thought of as another way to
write a mixed number. A mixed number can be converted to an improper fraction
in three steps:
1.
Multiply
the whole part by the denominator of the fractional part.
2.
Add the
numerator of the fractional part to that product.
3.
The
resulting sum is the numerator of the new (improper) fraction, with the 'new'
denominator remaining precisely the same as for the original fractional part of
the mixed number.
Similarly, an improper fraction can be converted to a mixed
number:
1.
Divide
the numerator by the denominator.
2.
The
quotient (without remainder) becomes the whole part and the remainder becomes
the numerator of the fractional part.
3.
The new
denominator is the same as that of the original improper fraction.
Equivalent fractions
Multiplying the numerator and denominator of a fraction by
the same (non-zero) number, the results of the new fraction is said to be equivalent to the original fraction. The wordequivalent means that the two fractions have the same value.
That is, they retain the same integrity - the same balance or proportion. This
is true because for any non-zero number n,
. Therefore, multiplying by
is equivalent to multiplying by
one, and any number multiplied by one has the same value as the original
number. For instance, consider the fraction
:
when the numerator and denominator are both multiplied by 2, the result is
, which has the same value (0.5)
as
. To picture this visually,
imagine cutting the example cake into four pieces; two of the pieces together (
)
make up half the cake (
).
For example:
,
,
and
are all equivalent fractions.
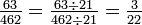
Dividing the numerator and denominator of a fraction by the same non-zero number will also yield an equivalent fraction. This is called reducing or simplifying the fraction. A fraction in which the numerator and denominator are coprime
[this means they have no factors in common (other than 1)] is said to be irreducible or in its lowest or simplest terms. For instance,Any fraction can be fully reduced to its lowest terms by
dividing both the numerator and denominator by their greatest common divisor. For example, the greatest common divisor of 63
and 462 is 21, therefore, the fraction
can be fully reduced by
dividing the numerator and denominator by 21:
![]()
In order to find the greatest common divisor, the Euclidean algorithm may be used.
Reciprocals and the
"invisible denominator"
The multiplicative inverse or reciprocal of a fraction is another
fraction with the numerator and denominator reversed. The reciprocal of
,
for instance, is
. Any integer can be written as
a fraction with the number one as denominator. For example, 17 can be written as
,
where 1 is sometimes referred to as the invisible denominator. Therefore, every fraction or
integer except for zero has a reciprocal. The reciprocal of 17 is
.
Complex fractions
A complex fraction (or compound fraction) is a fraction in
which the numerator or denominator contains a fraction. For example,
and
are complex fractions. To
simplify a complex fraction, divide the numerator by the denominator, as with
any other fraction (see the section on division for more details):

![]()
![]()

Arithmetic with fractions
Fractions, like whole numbers, obey the commutative, associative, and distributive laws, and the rule against division by zero.
Comparing fractions
Comparing fractions with the same denominator only requires
comparing the numerators.
because 3>2.
One way to compare fractions with different denominators is
to find a common denominator. To compare
and
, these are converted to
and
. Then bd
is a common denominator and the numerators ad and bc can be compared.
?
gives ![]()
As a short cut, known as "cross multiplying", you
can just compare ad and bc,
without computing the denominator.
? ![]()
Multiply 17 by 5 and multiply 18 by 4. Since 85 is greater
than 72,
.
Another method of comparing fractions is this: if two
fractions have the same numerator, then the fraction with the smaller
denominator is the larger fraction. The reasoning is that since, in the first
fraction, fewer equal pieces are needed to make up a whole, each piece must be
larger.
Also note that every negative number, including negative
fractions, is less than zero, and every positive number, including positive
fractions, is greater than zero, so every negative fraction is less than any
positive fraction.
Addition
The first rule of addition is that only like quantities can
be added; for example, various quantities of quarters. Unlike quantities, such
as adding thirds to quarters, must first be converted to like quantities as
described below: Imagine a pocket containing two quarters, and another pocket
containing three quarters; in total, there are five quarters. Since four
quarters is equivalent to one (dollar), this can be represented as follows:
.
If
of a cake is to be added to
of a cake, the pieces need to
be converted into comparable quantities, such as cake-eighths or cake-quarters.
Adding unlike quantities
To add fractions containing unlike quantities (e.g. quarters
and thirds), it is necessary to convert all amounts to like quantities. It is
easy to work out the chosen type of fraction to convert to; simply multiply
together the two denominators (bottom number) of each fraction.
For adding quarters to thirds, both types of fraction are
converted to
(twelfths).
Consider adding the following two quantities:
![]()
First, convert
into twelfths by multiplying
both the numerator and denominator by three:
. Note that
is equivalent to 1, which shows
that
is equivalent to the resulting
.
Secondly, convert
into twelfths by multiplying
both the numerator and denominator by four:
. Note that
is equivalent to 1, which shows
that
is equivalent to the resulting
.
Now it can be seen that:
![]()
is equivalent to:
![]()
This method can be expressed algebraically:
![]()
And for expressions consisting of the addition of three
fractions:
![]()
This method always works, but sometimes there is a smaller
denominator that can be used (a least common denominator). For example, to add
and
the denominator 48 can be used
(the product of 4 and 12), but the smaller denominator 12 may also be used,
being the least common multiple of 4 and 12.
![]()
Subtraction
The process for subtracting fractions is, in essence, the
same as that of adding them: find a common denominator, and change each
fraction to an equivalent fraction with the chosen common denominator. The
resulting fraction will have that denominator, and its numerator will be the
result of subtracting the numerators of the original fractions. For instance,
![]()
Multiplication
Multiplying a fraction
by another fraction
To multiply fractions, multiply the numerators and multiply
the denominators. Thus:

Why does this work? First, consider one third of one quarter.
Using the example of a cake, if three small slices of equal size make up a
quarter, and four quarters make up a whole, twelve of these small, equal slices
make up a whole. Therefore a third of a quarter is a twelfth. Now consider the
numerators. The first fraction, two thirds, is twice as large as one third.
Since one third of a quarter is one twelfth, two thirds of a quarter is two
twelfth. The second fraction, three quarters, is three times as large as one
quarter, so two thirds of three quarters is three times as large as two thirds
of one quarter. Thus two thirds times three quarters is six twelfths.
A short cut for multiplying fractions is called
"cancellation". In effect, we reduce the answer to lowest terms
during multiplication. For example:
![]()
A two is a common factor in both the numerator of the
left fraction and the denominator of the right and is divided out of both.
Three is a common factor of the left denominator and right numerator and is
divided out of both.
Multiplying a fraction
by a whole number
Place the whole number over one and multiply.
![]()
This method works because the fraction 6/1 means six equal
parts, each one of which is a whole.
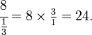
Mixed numbers
When multiplying mixed numbers, it's best to convert the
mixed number into an improper fraction. For example:
![]()
In other words,
is the same as
, making 11 quarters in total (because 2 cakes,
each split into quarters makes 8 quarters total) and 33 quarters is
, since 8 cakes, each made of
quarters, is 32 quarters in total.
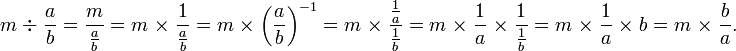
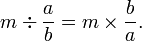
Division
Division by a fraction is done by multiplying the dividend by
the reciprocal of the divisor, in accordance with the identity
![]()
A proof for the identity, from fundamental principles, can be
given as follows:

An algebraic proof is as follows. Set x equal to the quotient we are
looking for (m ÷ a/b). By the definition
of division, this means we are looking for the number x such that:
![]()
Multiply both sides of this
equation by
:
![]()
![]()
![]()
About 4,000 years ago Egyptians divided with fractions using
slightly different methods. They used least common multiples with unit fractions. Their methods gave the same
answer that our modern methods give.[4]
http://www.khanacademy.org/video/mixed-numbers-and-improper-fractions?playlist=Arithmetic
http://www.khanacademy.org/video/greatest-common-divisor?playlist=Arithmetic
http://www.khanacademy.org/video/adding-mixed-numbers?playlist=Developmental%20Math
http://www.khanacademy.org/video/adding-fractions-with-different-signs?playlist=Developmental%20Math
http://www.khanacademy.org/video/subtracting--fractions?playlist=Developmental%20Math
http://www.khanacademy.org/video/subtracting-mixed-numbers?playlist=Developmental%20Math